招生代码:11121
广东省首批十佳民办高校
当前位置:

私立华联学院2024-k8凯发官网app下载

发布:2025-01-07 / 阅读量:次

 

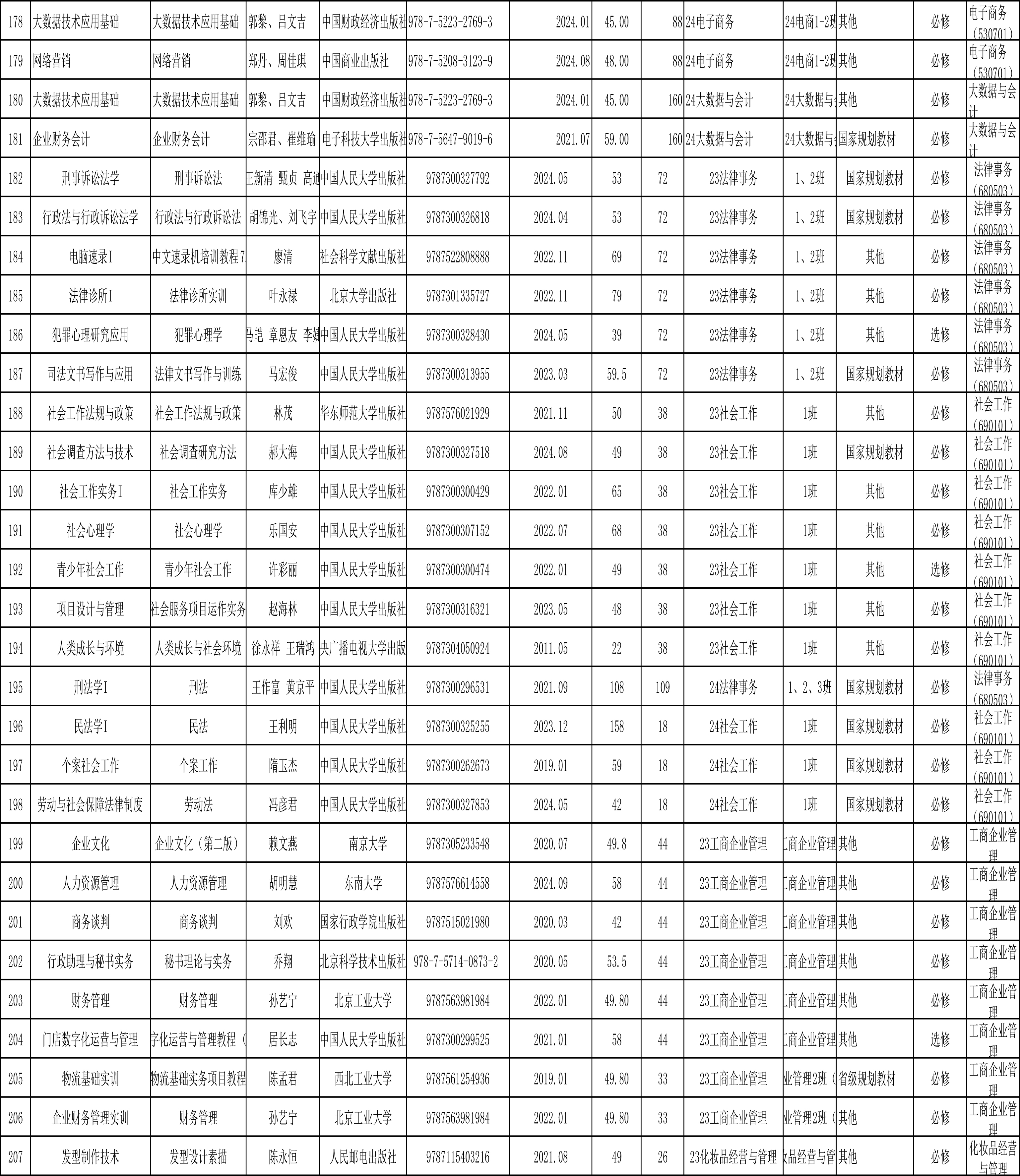
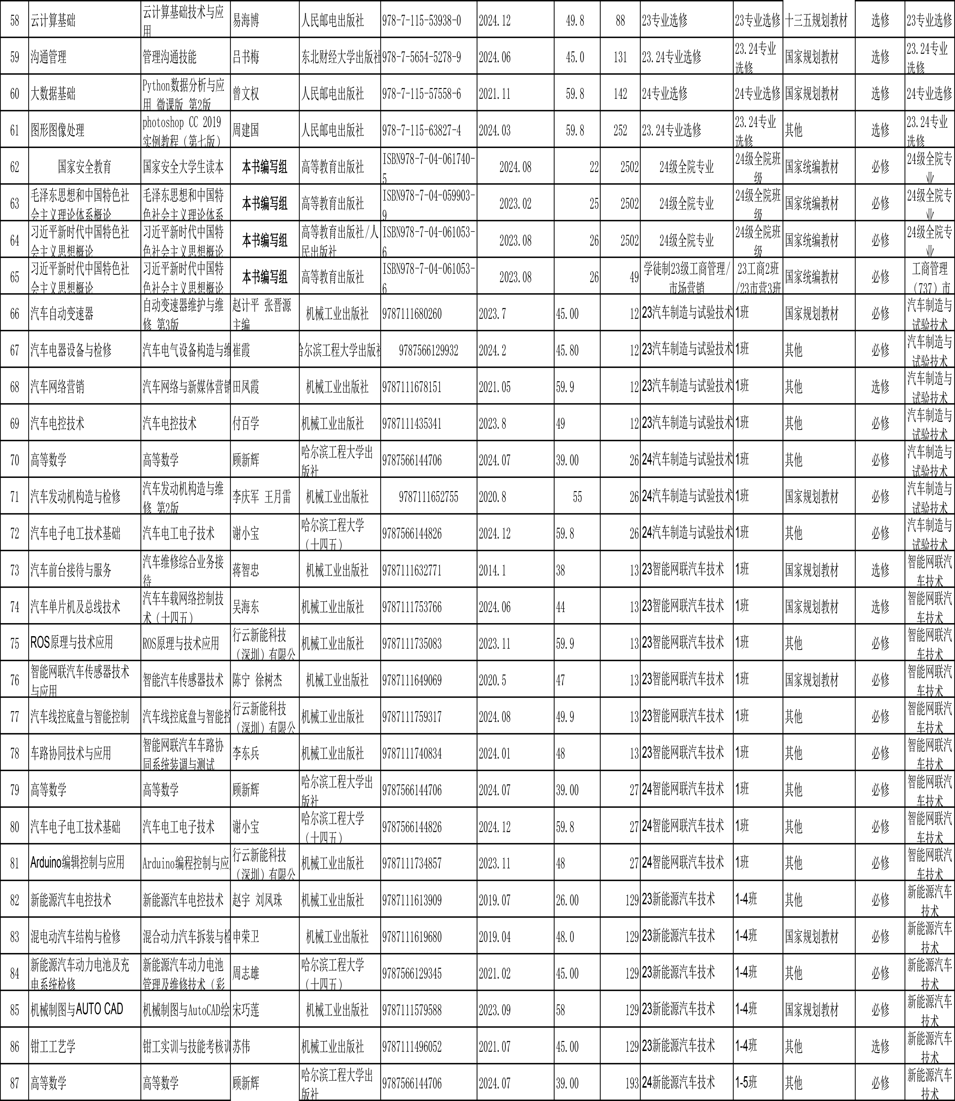
私立华联学院2024-2025学年第二学期教材选用公示

私立华联学院2024-2025学年第二学期教材选用公示

私立华联学院2024-2025学年第二学期教材选用公示

私立华联学院2024-2025学年第二学期教材选用公示

私立华联学院2024-2025学年第二学期教材选用公示

私立华联学院2024-2025学年第二学期教材选用公示

私立华联学院2024-2025学年第二学期教材选用公示

私立华联学院2024-2025学年第二学期教材选用公示

私立华联学院2024-2025学年第二学期教材选用公示

 

私立华联学院2024-2025学年第二学期教材选用公示

私立华联学院2024-2025学年第二学期教材选用公示

私立华联学院2024-2025学年第二学期教材选用公示

 

 

  • 上一篇:
  • 下一篇:暂无
网站地图